[1] 15 12 17
Assignment 1 due next Monday night at Midnight
Posted some time today or tomorrow morning
Midterm grades by next Monday
A note on AI use
Grading update
What is the estimated value of the Quarterly Adjusted GNP for 2002, Q4?
What is the estimated percent of Egyptian GDP due to exports in 2018?
Note: These are both forecasting questions.
A time series \(x_t\) is ARMA(p,q) if
\[ x_t = \alpha + \phi_1 x_{t-1} + \phi_2 x_{t-2} + \dots + \phi_p x_{t-p} + w_t + \theta_1 w_{t-1} + \theta_2 w_{t-2} + \dots + \theta_q w_{t-q} \] Where \(\phi_p \ne 0, \theta_q \ne 0, \sigma^2_w > 0\) (and the model is causal and invertible)
Consider the MA model and its theoretical autocorrelation function, where \(\sigma^2_w\) is the white noise variance
\[ \begin{aligned} x_t &= w_t + \theta w_{t-1}\\ \gamma(h) &= \begin{cases} (1+\theta^2)\sigma^2_w & \Vert h \Vert = 0 \\ \theta \sigma^2_w & \Vert h \Vert = 1 \\ 0 & \Vert h \Vert > 1 \end{cases} \end{aligned} \] Consider two possible values for \(\theta\) and \(\sigma^2_w\):
\(\theta = 5, \sigma^2_w = 1\)
\[ \gamma(h) = \begin{cases} (1+5^2)\cdot1 & \Vert h \Vert = 0 \\ 5\cdot 1 & \Vert h \Vert = 1 \\ 0 & \Vert h \Vert > 1 \end{cases} \]
\(\theta = 1/5, \sigma^2_w = 25\)
\[ \gamma(h) = \begin{cases} (1+(1/5)^2)\cdot 25 & \Vert h \Vert = 0 \\ 1/5\cdot 25 & \Vert h \Vert = 1 \\ 0 & \Vert h \Vert > 1 \end{cases} \]
Both simplify to \[ \gamma(h) = \begin{cases} 26 & \Vert h \Vert = 0 \\ 5 & \Vert h \Vert = 1 \\ 0 & \Vert h \Vert > 1 \end{cases} \]
In practice we cannot distinguish the difference between the two models (they are stochastically the same). So, we will choose the invertible model, which is the one with \(\sigma^2_w =25\), \(\theta = 1/5\) (see Shumway and Stoffer page 72-73, example 4.6 for details.)
If we let \(\epsilon_t = w_t + \theta_1 w_{t-1} + \theta_2 w_{t-2} + \dots + \theta_q w_{t-q}\), then if \(x_t\) is ARMA(p,q), \[ x_t = \alpha + \phi_1 x_{t-1} + \phi_2 x_{t-2} + \dots + \phi_p x_{t-p} + \epsilon_t \]
Is there any seasonality (fixed-length cycles)? If so, probably want to use a seasonal model (not ARMA)
No, the cycles are not of fixed length
[1] 15 12 17
Propose a rule for choosing the order of the MA model.
Error in arima.sim(list(ar = c(0.75, 0.5)), n = 1000): 'ar' part of model is not stationary
Consider two of the models just simulated:
The PACF is the correlation between \(x_t\) and \(x_{t-k}\) that is not explained by lags \(1, 2, \ldots, k-1\).
“Removes” the autocorrelation of the previous lags.
Useful in determining the order of an Autoregressive process, and in combination with ACF, choosing between an AR or an MA model.
| AR(p) | MA(q) | ARMA(p,q) | |
|---|---|---|---|
| ACF | Tails off | Cuts off after lag q | Tails off |
| PACF | Cuts off after lag p | Tails off | Tails off |
ACF: Tails off; PACF: Cuts off after lag 4. Maybe an AR(4), or some sort of ARMA?
Use the sarima function, specify p, d, q (d = 0 for ARMA).
<><><><><><><><><><><><><><>
Coefficients:
Estimate SE t.value p.value
ar1 0.9861 0.1247 7.9103 0.0000
ar2 -0.1715 0.1865 -0.9199 0.3618
ar3 0.1807 0.1865 0.9688 0.3370
ar4 -0.3283 0.1273 -2.5779 0.0128
xmean 20.0986 1.0699 18.7858 0.0000
sigma^2 estimated as 7.204995 on 53 degrees of freedom
AIC = 5.052611 AICc = 5.072505 BIC = 5.265761
Series: Exports
Model: ARIMA(2,0,1) w/ mean
Coefficients:
ar1 ar2 ma1 constant
1.6764 -0.8034 -0.6896 2.5623
s.e. 0.1111 0.0928 0.1492 0.1161
sigma^2 estimated as 8.046: log likelihood=-141.57
AIC=293.13 AICc=294.29 BIC=303.43
One that fits well
We can use AICc to choose between models that seem to have good fit
Series: Exports
Model: ARIMA(2,0,1) w/ mean
Coefficients:
ar1 ar2 ma1 constant
1.6764 -0.8034 -0.6896 2.5623
s.e. 0.1111 0.0928 0.1492 0.1161
sigma^2 estimated as 8.046: log likelihood=-141.57
AIC=293.13 AICc=294.29 BIC=303.43
Series: Exports
Model: ARIMA(4,0,0) w/ mean
Coefficients:
ar1 ar2 ar3 ar4 constant
0.9861 -0.1715 0.1807 -0.3283 6.6922
s.e. 0.1247 0.1865 0.1865 0.1273 0.3562
sigma^2 estimated as 7.885: log likelihood=-140.53
AIC=293.05 AICc=294.7 BIC=305.41
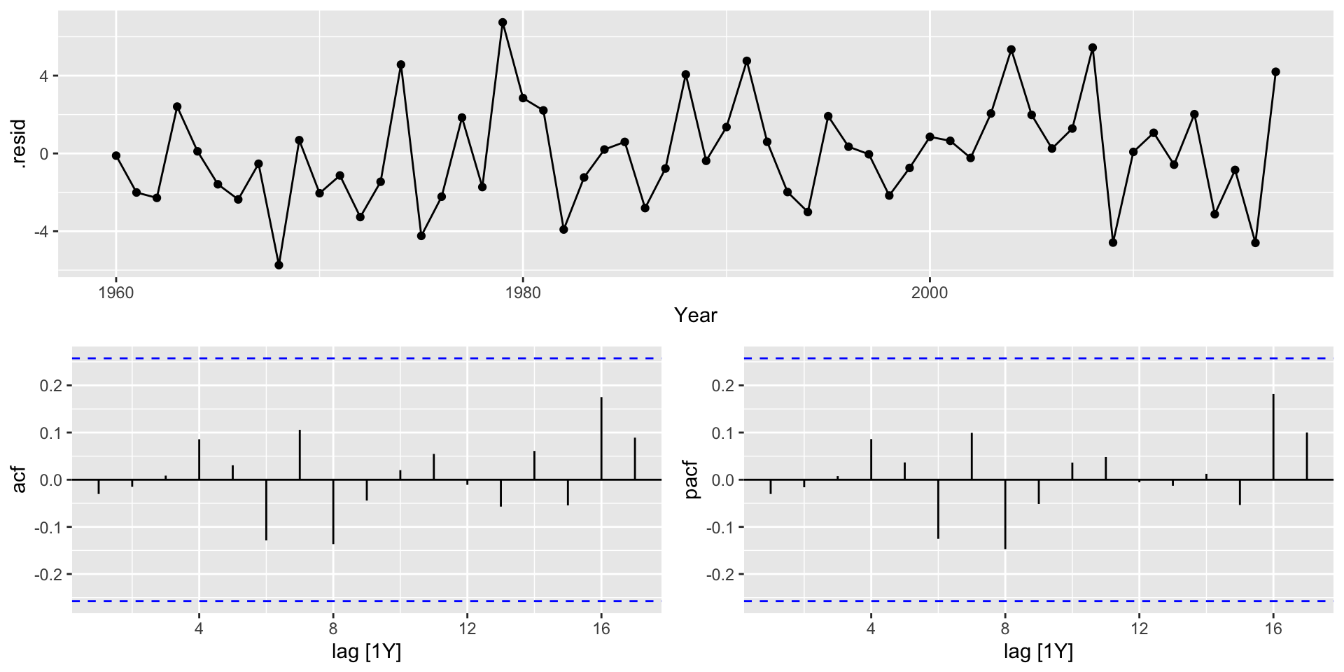
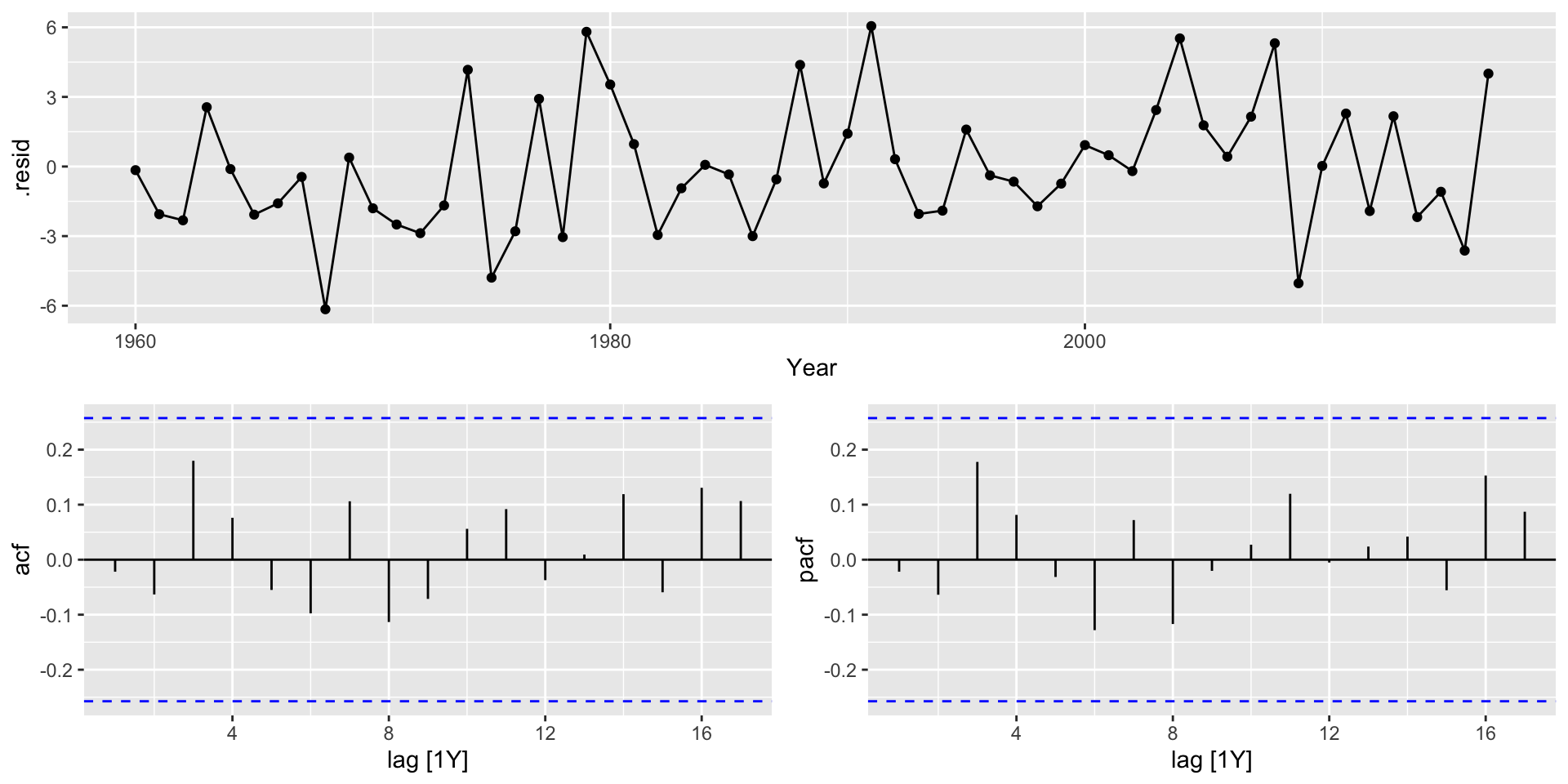
Very similar! Let’s check the residuals
Does the series appear stationary?


Does the series appear stationary?


A time series is said to be ARIMA(p,d,q) if
\[ \nabla^dx_t = (1-B)^dx_t \]
Is ARMA(p,q). In other words, if after an order \(d\) difference we get an ARMA model. To bring in the parameters, we write
\[ \phi(B)(1-B)^dx_t = \alpha + \theta(B)w_t \]
Here, \(\phi(B) = 1 - \phi_1B - \phi_2B^2 - \dots - \phi_p B^p\) and \(\theta(B) = 1 + \theta_1 B + \theta_2 B^2 + \dots + \theta_q B^q\)
Since \(q = 0\), \(\theta(B) = 1\). Since \(q = 1\), \(\phi(B) = 1-\phi_1B\). Finally, \(d = 1\) so
\[ \begin{aligned} \phi(B) (1-B)^dx_t &= \alpha + \theta(B) w_t \\ (1 - \phi_1B)(1-B)^1x_t &= \alpha + 1\cdot w_t\\ (1- \phi_1B)(x_t -x_{t-1}) &= \alpha + w_t \\ x_t - x_{t-1} - (\phi_1Bx_t + \phi_1Bx_{t-1}) &= \alpha + w_t \\ x_t - x_{t-1} - (\phi_1x_{t-1} + \phi_1x_{t-2}) &= \alpha + w_t \\ x_t - x_{t-1} &= \alpha + \phi_1(x_{t-1} - x_{t-2}) + w_t \end{aligned} \]
More on ARMA vs. ARIMA
Box-cox transformations
Parameter redundancy
Portmanteau tests
Unit root tests
(maybe) Seasonal ARIMA?